Предмет: Алгебра,
автор: Kostya71199
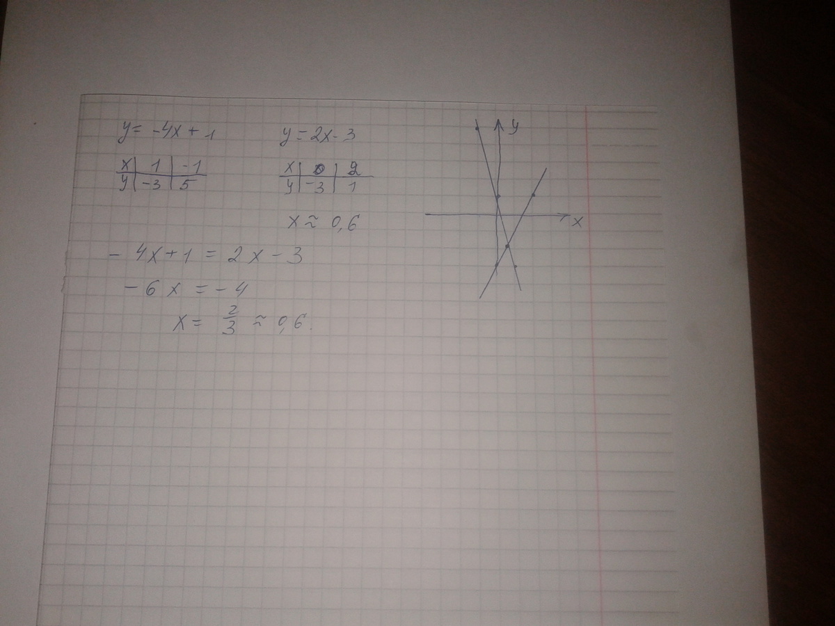
постройте график функции y=-4x+1 и y=2x-3 ипостройте график функции y=-4x+1 и y=2x-3 и найдите координаты точки их пересечения
Ту же задачу решите без построения графиков.Сравните результат мне срочно нужно
ПОМОГИТЕ ЗАРАНИЕ СПАСИБО)))))))))))))))))))
Ответы
Автор ответа:
0
........................................................
Приложения:
Автор ответа:
0
Большое спасибо)))без вас не справился бы)))
Похожие вопросы
Предмет: Другие предметы,
автор: rileywife
Предмет: Математика,
автор: Аноним
Предмет: Химия,
автор: myrzaguladilova
Предмет: Физика,
автор: ViktorSv2014
Предмет: Алгебра,
автор: Аноним