Предмет: Математика,
автор: oleg355
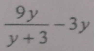
Математика Упростите выражение
Приложения:
Ответы
Автор ответа:
0
9y-3y(y+3) 9y-3y^2-9y -3y^2
=-------------- = ------------ = --------
y+3 y+3 y+3
=-------------- = ------------ = --------
y+3 y+3 y+3
Похожие вопросы
Предмет: География,
автор: Аноним
Предмет: Русский язык,
автор: Fonk6272
Предмет: Математика,
автор: Аноним
Предмет: Физика,
автор: Аноним
Предмет: Физика,
автор: grox