Предмет: Математика,
автор: NAURIN
очень прошу объясните как это делать
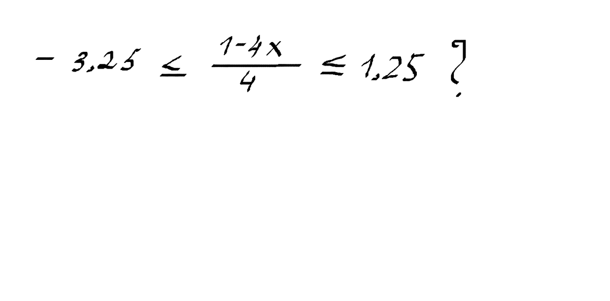
сколько целых чисел содержит множество решений неравенства
Приложения:
Ответы
Автор ответа:
0
нажми на фото , там подробное решение
Приложения:
Похожие вопросы
Предмет: Физкультура и спорт,
автор: zaicevyaros
Предмет: Физика,
автор: kakanovalek
Предмет: География,
автор: nurlutemirbek
Предмет: Литература,
автор: Александрисса15
Предмет: Математика,
автор: dolmatovapolin