Предмет: Алгебра,
автор: бусяша1015
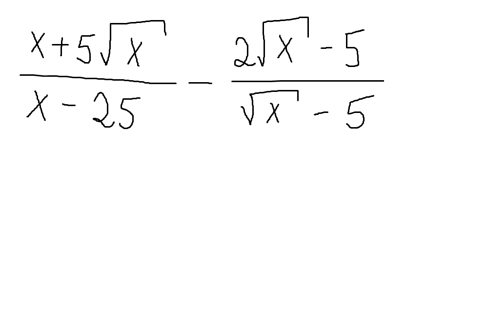
Упростите выражение:
Приложения:
Ответы
Автор ответа:
0
(x+5√x)/(x-25) -(2√x-5)/(√x-5)=(x+5√x)/(x-25) -(2√x-5)(√x+5)/(√x-5)*(√x+5)=
=(x+5√x-2x+5√x-10√x+25)/(x-25)=(-x+25)/(x-25)=-(x-25)/(x-25)=-1
=(x+5√x-2x+5√x-10√x+25)/(x-25)=(-x+25)/(x-25)=-(x-25)/(x-25)=-1
Похожие вопросы
Предмет: Алгебра,
автор: myakmyyakmyyyak
Предмет: Математика,
автор: Musaliakerke
Предмет: Қазақ тiлi,
автор: Аноним
Предмет: Физика,
автор: Iseya