Предмет: Алгебра,
автор: YoooS
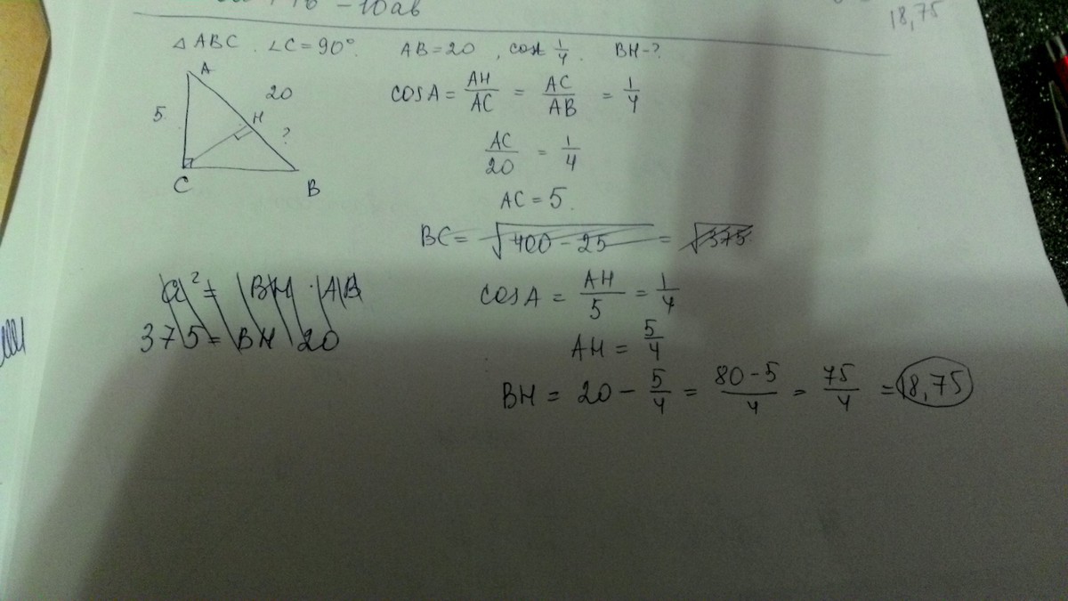
abc<C=90, CH высота AB =20 cos=1/4 найдите Bh. хелп
Ответы
Автор ответа:
0
.....................................................
Приложения:
Похожие вопросы
Предмет: Английский язык,
автор: Tealover
Предмет: Английский язык,
автор: polinaslamihina
Предмет: Математика,
автор: nsonadoo
Предмет: Математика,
автор: Coffe235