Предмет: Алгебра, автор: Аноним

Прошу помощи!!  Решите уравнение пожалуйста!

Приложения:

Ответы

Автор ответа: Аноним
0
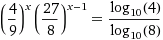
( frac{4}{9} )^{x}*( frac{27}{8} )^{x-1}= frac{lg4}{lg8}  \ 
( frac{2}{3} )^{2x}* (frac{2}{3})^{3-3x}= frac{2lg2}{3lg2}  \ 
( frac{2}{3} )^{2x+3-3x}= frac{2}{3}  \ 
2x+3-3x=1 \ 
-x=-2 \ 
x=2 \
Автор ответа: Аноним
0
Огромное спасибо! У меня такой же ответ) Я сейчас ещё 1 пример добавлю) Надеюсь вы мне поможете!
Автор ответа: mmb1
0
=================================

Приложения:
Похожие вопросы
Предмет: Русский язык, автор: sergei8543
Предмет: Математика, автор: Аноним
Предмет: Алгебра, автор: a4259115