Предмет: Геометрия,
автор: Рита0
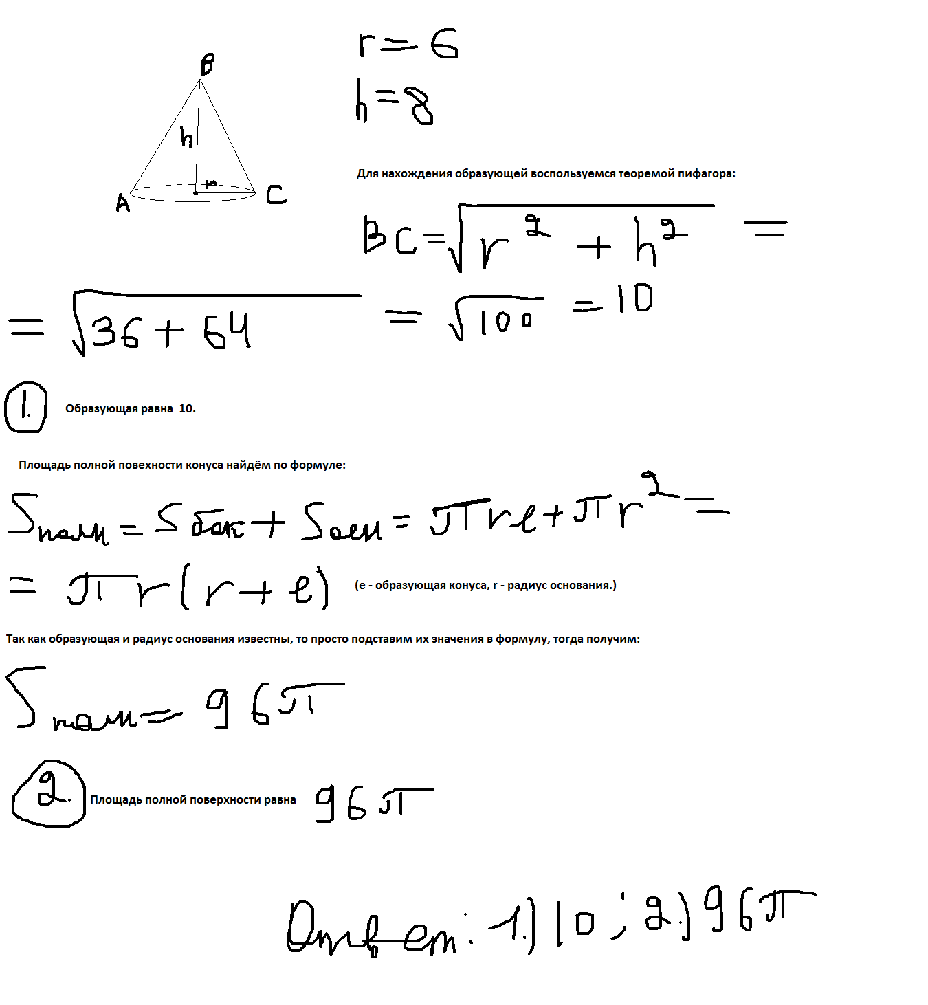
r основания конуса=6м ,а высота=8.Найти образующую конуса и площадь поверхности
Ответы
Автор ответа:
0
Решение в картинке... Если что не понятно, обращайтесь, разъясню)
Приложения:
Автор ответа:
0
Образующую конуса находим из тр-ка в его вертикальном сечении:
L = √(r²+h²) = √6²+8² = √100 = 10м
площадь поверхности складывается из Sоснования и Sбоковой
Sосн = πr² = 36π
Sбок = πRL = 60π
S = 36π + 60π = 96π кв.м
Приложения:
Похожие вопросы
Предмет: Алгебра,
автор: vadimtrushin
Предмет: Физика,
автор: leonoraprnikova
Предмет: Математика,
автор: atalipov731
Предмет: Обществознание,
автор: Аня1513
Предмет: Алгебра,
автор: milk18111998