Предмет: Физика,
автор: MaksimShults
Ну прошу!! Очень надо!! Баллов мало, но помогите пожалуйста! Очень прошу!!! Выручите!Бесполезно наверно просить помощи, но все-таки! Помоооогиите! :'(
Задачи по словам учителя легкие.
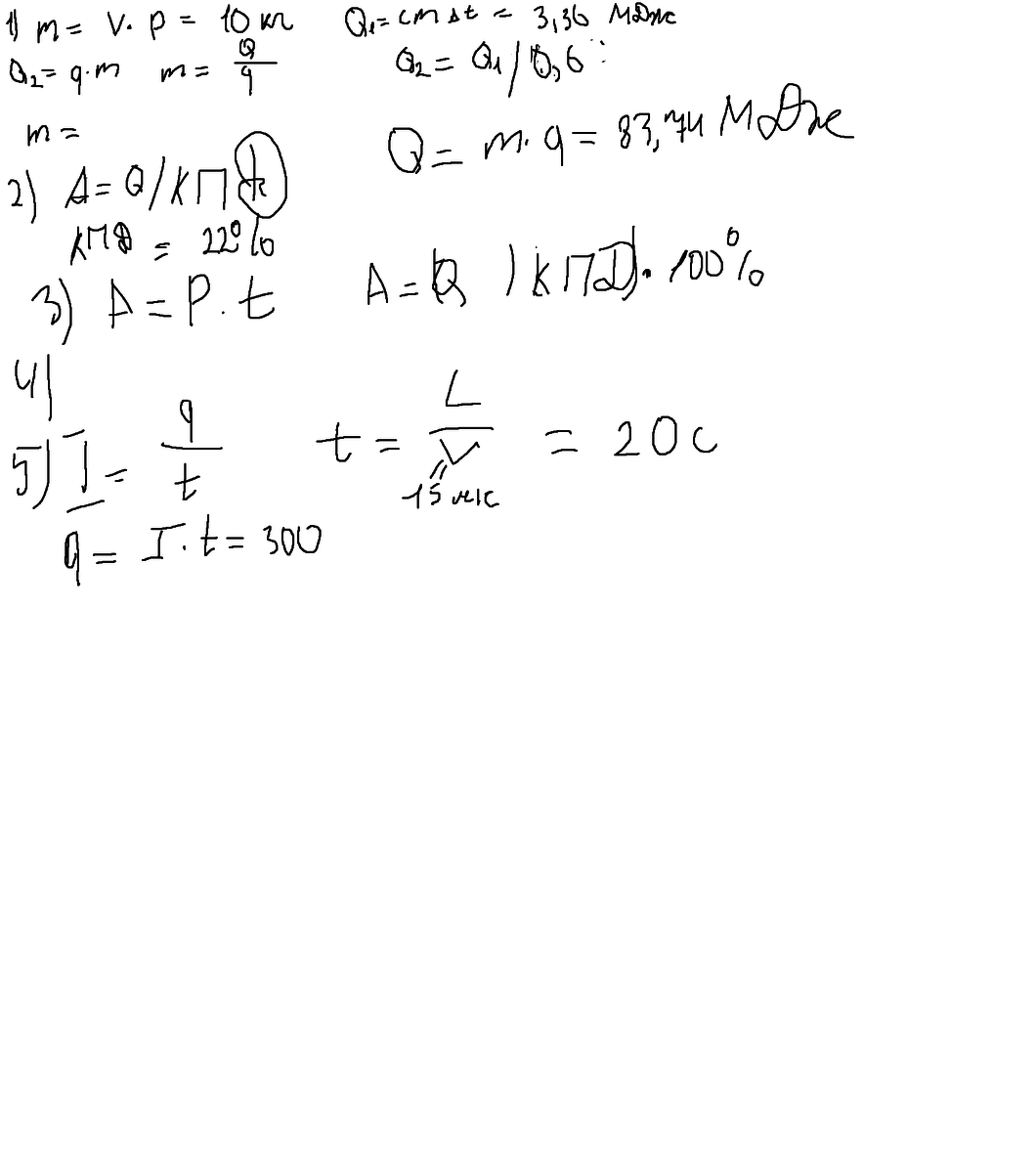
№1
V=10 л
t1=20 градусов
t2= 100 градусов
КПД = 60%
q ( природного газа ) - ?
P ( ро ) = 1000 кг/м^3
c(воды) = 4.2*10^3 Дж/ кг*градусы
найти V ( газа )
№2
m=2 кг
A=18.4 мДж ( затраченная )
q( бензина ) -?
найти КПД
№3
t=2 с
P=50 кВт
дельта Q = 300 кДж
q ( бензина ) -?
Найти КПД
№4е
t1=5 градусов
t2= 1.8 градусов
m2= 5 кг
P ( ро ) = 900 кг/ м^3
с1=1670 дж/ кг*градус
Найти V1
№5
L=300м
v( скорость ) = 54 км/ч
I= 15 А
Найти q ( зараяд )
Ответы
Автор ответа:
0
,,,,,,,,,,,,,,,,,,,,,,,,,,,,,,,,,,,,,,,,,,,,,,
Приложения:
Похожие вопросы
Предмет: Физика,
автор: Аноним
Предмет: История,
автор: vkrsun92
Предмет: Биология,
автор: sor6
Предмет: Биология,
автор: kosmos349asya
Предмет: Математика,
автор: solonskay