Предмет: Алгебра,
автор: Ленуська2112
помогите, СРОЧНО!!
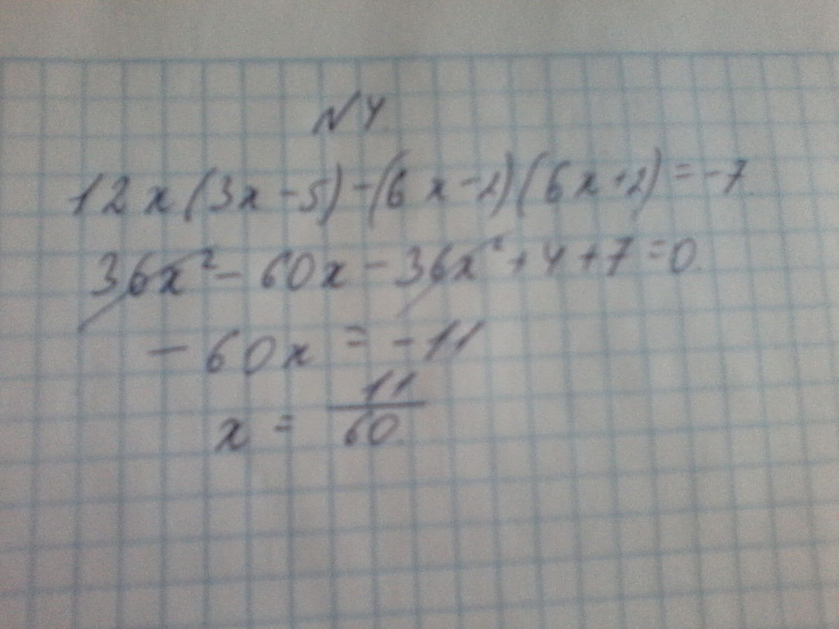
решите уравнения подробно (фото)
Приложения:
Ответы
Автор ответа:
0
Получится вот так :)
Приложения:
Похожие вопросы
Предмет: Окружающий мир,
автор: 20205050
Предмет: Русский язык,
автор: raimbaevakamila04
Предмет: Геометрия,
автор: sarylykovabegimai
Предмет: Геометрия,
автор: kristina369