Предмет: Алгебра,
автор: juliya159
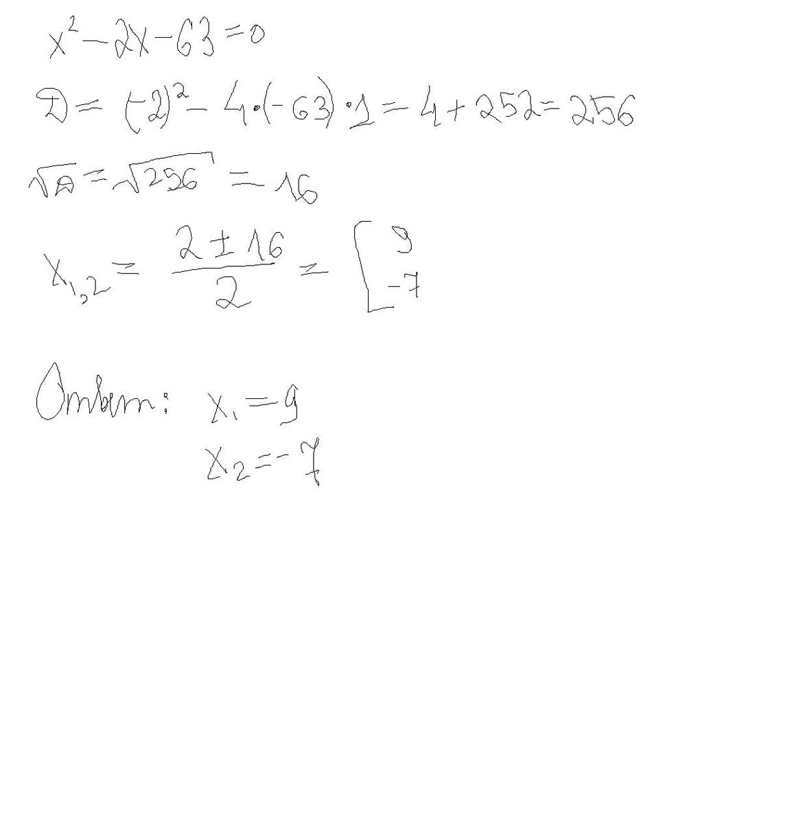
использую формулу обратной теореме виета найдите корни квадратного уравнения х2-2х-63=0
Ответы
Автор ответа:
0
Так тут можно и без Виета обойтись.
Приложения:
Похожие вопросы
Предмет: Русский язык,
автор: Аноним
Предмет: Физика,
автор: nikolaybaskov55
Предмет: Английский язык,
автор: springbonnie2016
Предмет: Химия,
автор: ТориЭнн
Предмет: Алгебра,
автор: Khitryakova