Предмет: Алгебра,
автор: taras999999
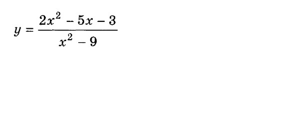
Функция задана формулой.Определите,при каком значении х график этой функции пересекается с прямой у=1.
Приложения:
Ответы
Автор ответа:
0
Подставляем в функцию вместо у единицу и решаем полученное уравнение.
Ответ х=2
Ответ х=2
Похожие вопросы
Предмет: Химия,
автор: kofeivanil
Предмет: Литература,
автор: lakysya14
Предмет: Математика,
автор: Larina583
Предмет: Геометрия,
автор: Troubezkoj
Предмет: Алгебра,
автор: groooome