Предмет: Алгебра,
автор: dimakostenkov
решить
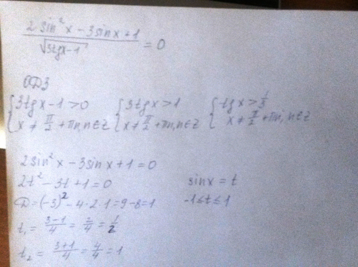
2sin^2x-3sinx+1 все это разделить на корень3 tgx-1 = 0
Ответы
Автор ответа:
0
во вложении........................
Приложения:
Похожие вопросы
Предмет: Алгебра,
автор: Arman0827
Предмет: Қазақ тiлi,
автор: Whydeletedmyaccount
Предмет: Литература,
автор: tyutyanastya2007
Предмет: Математика,
автор: oleg5609
Предмет: Алгебра,
автор: Kika1234