Предмет: Алгебра,
автор: stkristina
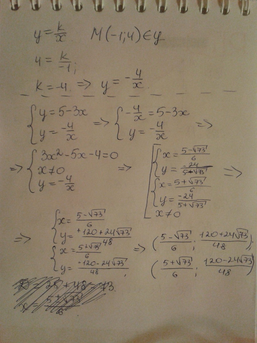
Задайте формулой прямую пропорциональность, если ее график проходит точку М(-1,4). Найдите аналитически координаты точки пересечения графика дополнительной функции с прямой у= 5-3х
Ответы
Автор ответа:
0
Я решила, но чет не очень похоже на правильное решение. Хотя и такие решения бывают. Кидать?
Приложения:
Автор ответа:
0
дададада
Автор ответа:
0
Я прикрепила фото)
Автор ответа:
0
Сколько ни старалась найти ошибку, не нашла. Так что очень даже может выйти, что это правильное решение.
Автор ответа:
0
Подошло или совсем подозрительно?
Похожие вопросы
Предмет: Химия,
автор: ptichka78
Предмет: Математика,
автор: moroz30308
Предмет: Обществознание,
автор: Аноним
Предмет: Математика,
автор: sholpan11
Предмет: Математика,
автор: kirilloshka