Предмет: Алгебра,
автор: Incubusk

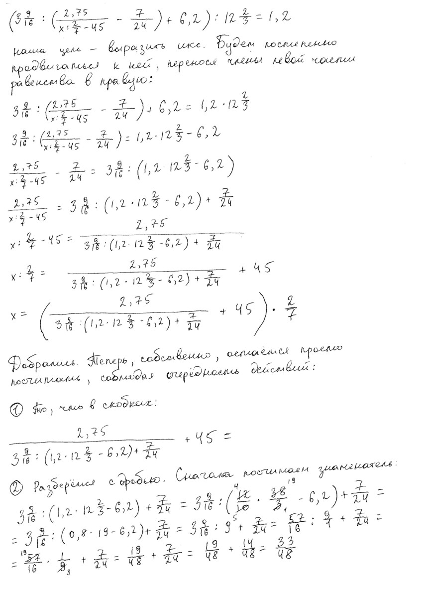
Помогите решить,пожалуйста.
Большая просьба написать решение пошагово.
Ответы
Автор ответа:
0
Вот, подробное решение. Сохраняй на жёсткий и увеличивай.)
Приложения:
Похожие вопросы
Предмет: Алгебра,
автор: tanyahomenko618
Предмет: Биология,
автор: katy428
Предмет: Русский язык,
автор: NARUT00000
Предмет: Математика,
автор: olgazaikina1996
Предмет: Алгебра,
автор: sver4ok