Предмет: Алгебра,
автор: Elizaveta276Volkova
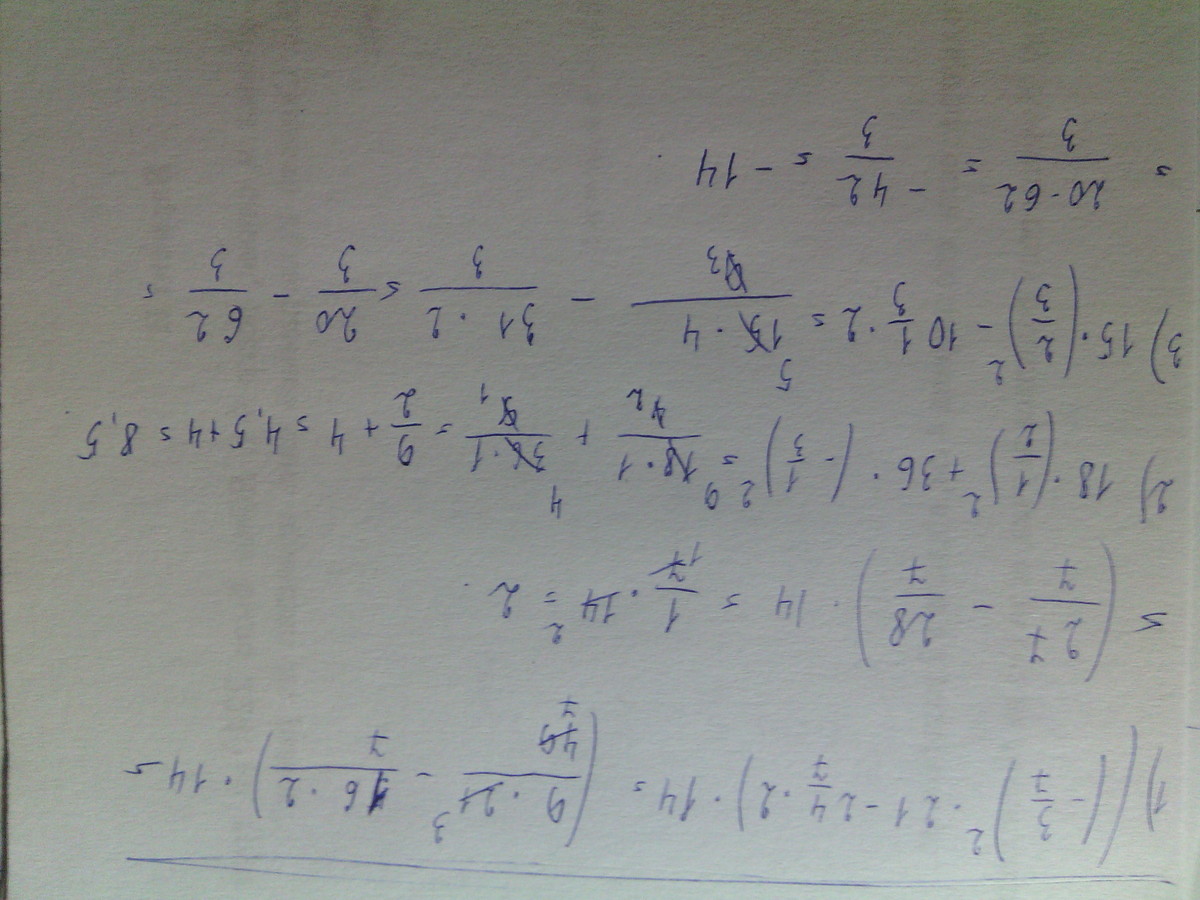
Помогите пожалуйста решить
Но не только ответы, но и решение
Приложения:
Ответы
Автор ответа:
0
надеюсь,что правильно:)
Приложения:
Похожие вопросы
Предмет: Окружающий мир,
автор: zanabajzanerke385
Предмет: Литература,
автор: umnovslava608
Предмет: Информатика,
автор: tanyamerz0120
Предмет: Физика,
автор: fatimagaikokuj
Предмет: Алгебра,
автор: pdusya