Предмет: Алгебра,
автор: ssdron1
МАТАН






пожалуйста с решением, плюсики посталю
Ответы
Автор ответа:
0
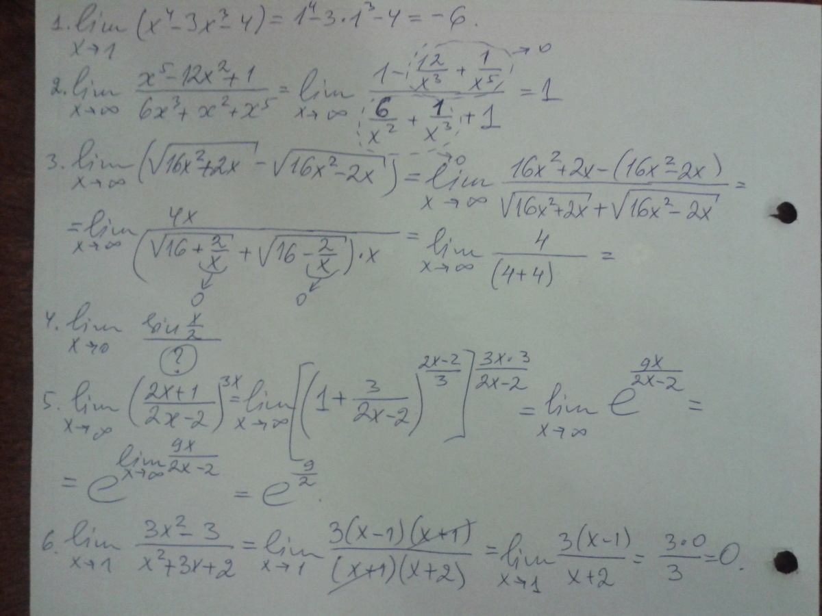
Знаменатель в 4 примере не видно
Приложения:
Автор ответа:
0
В 4 примере, если в знаменателе х-sinx, то неопределенности нет.Числитель стремится к sin0=0,знаменатель к 0-cos0=0-1=-1.Тогда дробь стремится к 0/-1=0.
Похожие вопросы
Предмет: Математика,
автор: Аноним
Предмет: Қазақ тiлi,
автор: abajramazan520
Предмет: Русский язык,
автор: kate22072005
Предмет: Геометрия,
автор: АкваТАся23