Предмет: Алгебра, автор: intiqamjafarov

Упростите целые выражения
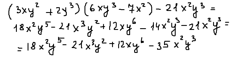
(3xy^2+2y^3)(6xy^3-7x^2)-21x^2y^3

Ответы

Автор ответа: Linsyk
0
... = 18ху^6 + 14x^2y^3 - 21x^2y^3 = 18xy^6 + 39x^2y^3 = 3xy^3 (6y^3 + 13x)
Автор ответа: esmilya
0
Если понравилось решение - нажимай "спасибо" и "лучший" (рядом с кнопкой "спасибо") :)
Приложения:
Автор ответа: intiqamjafarov
0
klass
Похожие вопросы
Предмет: История, автор: zuevaangelina10