Предмет: Физика,
автор: ArtemyVGB
Помогите решить
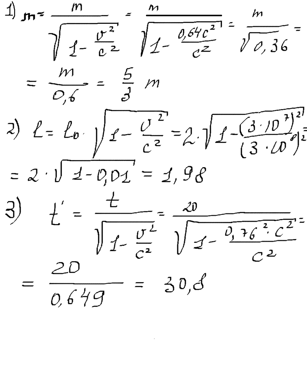
1.Масса покоя некоторой частицы равна m. Какой станет масса этой частицы, если она будет лететь со скоростью 0.8c. ?
2.Длина покоящегося стержня равна 2м. неасколько уменьшится длина стержня при его движении со скоростью v=3*10^7м/c?
3.Ваша хорошая знакомая проносится мимо вас в своём скоростном автомобиле со скоростью 0.76c. Сколько секунд прошло по вашим часам за то время, пока часы вашей знакомой отсчитали 20с.
4.Pi^0-мезон(m0=2,4*10^-28кг) движется со скоростью 0.8c. Чему равна его кинетическая энергия?
5.Во сколько раз увеличивается время жизни нестабильной частицы, если она движется со скоростью 0.99c?
Ответы
Автор ответа:
0
во вложениях........
Приложения:
Похожие вопросы
Предмет: Українська література,
автор: semeneyvania
Предмет: Английский язык,
автор: amirxankzormanov
Предмет: История,
автор: Larikcs
Предмет: Алгебра,
автор: nata129512
Предмет: Химия,
автор: Vlad1LiCh1