Предмет: Математика,
автор: Shaligint
ПОМГИТЕ ПОЖАЛУЙСТА СРОЧНО!!!
Приложения:
Ответы
Автор ответа:
0
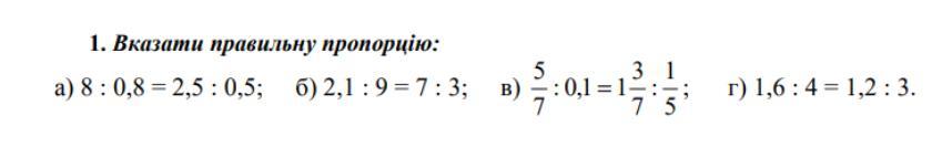
Ответ:
В)
Пошаговое объяснение:
5/7÷1/10=10/7*5
5/7*10=50/7
50/7=50/7
Похожие вопросы
Предмет: Литература,
автор: hyunjin174
Предмет: Геометрия,
автор: vlysanovic
Предмет: Математика,
автор: hdjdbdhh
Предмет: Английский язык,
автор: dastanboribayev
Предмет: Английский язык,
автор: lcalykova