Предмет: Алгебра,
автор: yanderixxx
БЫСТРО ЗАЙДИТЕ ПОМОГИТЕ
ДАМ 40 БАЛЛОВ
Приложения:
Ответы
Автор ответа:
0
Ответ:
в файле
Объяснение:
Приложения:
Автор ответа:
0
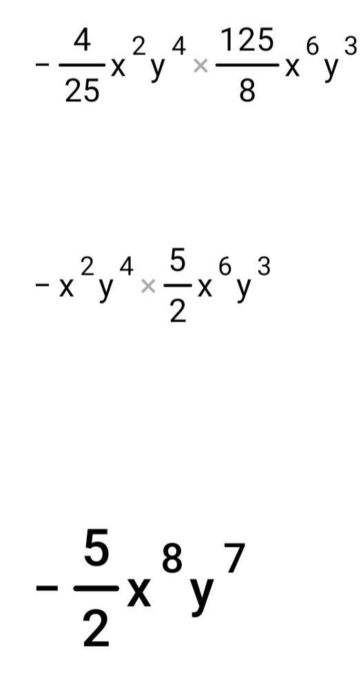
відповідь на другому фото, останній дріб.
Приложения:
Похожие вопросы
Предмет: Химия,
автор: vika21768
Предмет: Химия,
автор: gphfdzcsy7
Предмет: Английский язык,
автор: maksssik2310
Предмет: Другие предметы,
автор: Аноним
Предмет: Английский язык,
автор: erymbetovakumys