Предмет: Алгебра, автор: vorontsovroman09

Даю 80 балов СРОЧНО!

Приложения:

Ответы

Автор ответа: MrFlyguy
1

Объяснение:

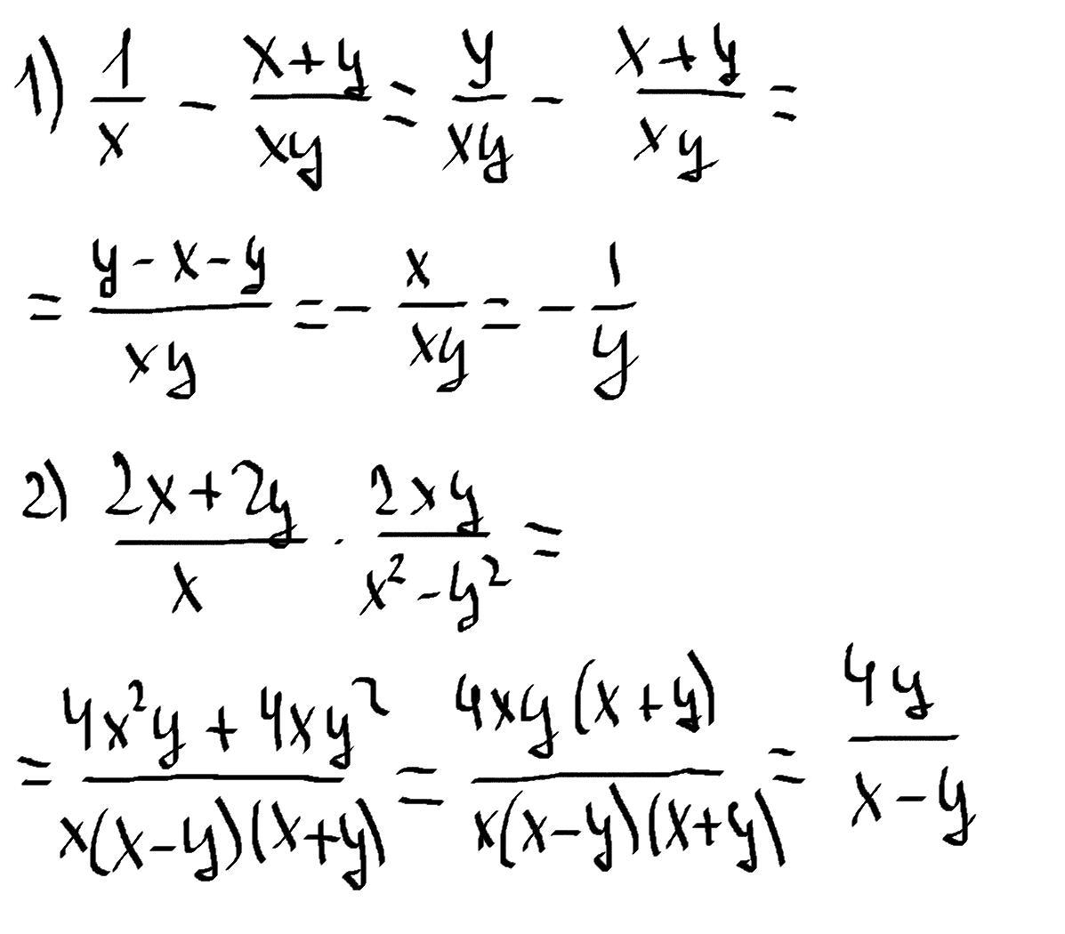
Решение на фото

Приложения:
Похожие вопросы
Предмет: Литература, автор: koromysovvlad98
Анализ и интерпретация Задание 2. Определите тему и идею предложенного отрывка из произведения. Как а раскрывает идею произведения? Приведите не менее 2 доказательств, ис цитаты из произведения. Объясните роль данного эпизода в композиции произведения. (текст, учебник с.164-166) По Петербургу пронеслись вдруг слухи, что у Калинкина моста и далеко подаль показываться по ночам мертвец в виде чиновника, ищущего какой-то утащенной ши видом стащенной шинели сдирающий со всех плеч, не разбирая чина и звания, всяк кошках, на бобрах, на вате, енотовые, лисьи, медвежьи шубы - словом, всякого рода какие только придумали люди для прикрытия собственной. Один из департаментск видел своими глазами мертвеца и узнал в нем тотчас Акакия Акаевича; но это вну однако же, такой страх, что он бросился бежать со всех ног и оттого не мог хорошее а видел только, как тот издали погрозил ему пальцем. Со всех сторон поступали бес жалобы, что спины и плечи, пускай бы еще только титулярных, а то даже самих тай подвержены совершенной простуде по причине ночного сдергивания шинелей. В п было распоряжение поймать мертвеца во что бы то ни стало, живого или мертвого, пример другим, жесточайшим образом, и в том едва было даже не успели. Именно​