Предмет: Алгебра,
автор: herman100030
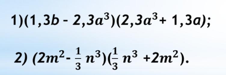
Допоможіть даю 30 балів
Приложения:
Ответы
Автор ответа:
0
Ответ:
ответ на фото
Объяснение:
рад был помочь
Приложения:
herman100030:
смотри мне если не правильно то забераю бали окей?
Похожие вопросы
Предмет: История,
автор: klebankamilla3
Предмет: Информатика,
автор: kirilltitarenko7480
Предмет: История,
автор: illagyrievtop
Предмет: Русский язык,
автор: Labs1
Предмет: Алгебра,
автор: 4675477