Предмет: Геометрия,
автор: obespalkovanya2011
помогите пожалуйста
даю 50 балов
Приложения:
Ответы
Автор ответа:
0
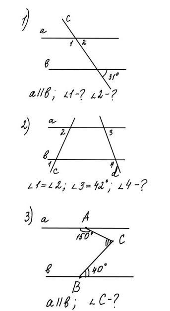
Ответ:1 кут 2 - 31 градусів
кут 1 - 149 драдусів
Объяснение:
Похожие вопросы
Предмет: Обществознание,
автор: azisbekkyzynagima
Предмет: Математика,
автор: ismira058
Предмет: Алгебра,
автор: romaemelanov63
Предмет: Экономика,
автор: archi2003
Предмет: Математика,
автор: kasimovazarnigor