Предмет: Алгебра,
автор: unvm9c5789
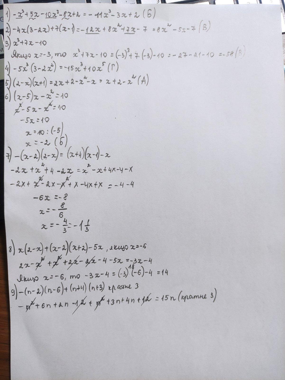
СРОЧНО АЛГЕБРА 7 КЛАСС 35 балов
Приложения:
Ответы
Автор ответа:
2
Відповідь:
Пояснення:
Приложения:
Похожие вопросы
Предмет: Геометрия,
автор: Аноним
Предмет: Алгебра,
автор: nurmatovaaiturgan50
Предмет: Алгебра,
автор: zumadilkyzyanz41
Предмет: История,
автор: Аноним
Предмет: Математика,
автор: yulduzhaliljonova