Предмет: Алгебра, автор: fctdgsygfdhngfxzgsac

Обчисліть інтеграли.

Приложения:

Ответы

Автор ответа: natalyabryukhova
1

Ответ:

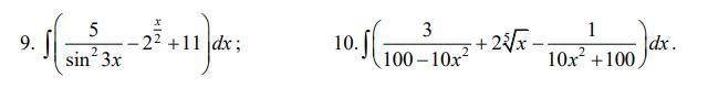
\displaystyle \bf     9. \;\int\limits {\left(\frac{5}{sin^23x}-2^{\frac{x}{2} }+11\right) } \, dx=-\frac{5}{3}ctg\;3x-\frac{2\cdot2^{\frac{x}{2} }}{ln2}  +11x+C

\displaystyle \bf     10.\;\int\limits {\left(\frac{3}{100-10x^2}+2\sqrt[5]{x} -\frac{1}{10x^2+100}\right)  } \, dx=\\\\\displaystyle \bf     =\frac{3}{20\sqrt{10 } }  ln\bigg|\frac{\sqrt{10}+x }{\sqrt{10}-x }\bigg|+\frac{5x\sqrt[5]{x} }{3}  -\frac{1}{10\sqrt{10}}arctg\frac{x}{\sqrt{10} }+C

Объяснение:

Вычислить интегралы:

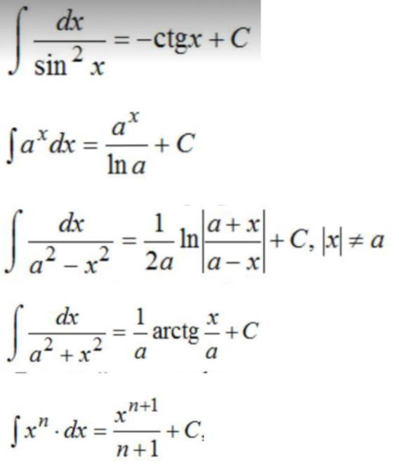
Приведем данные интегралы к табличным (см.вложение)

\displaystyle \bf     9. \;\int\limits {\left(\frac{5}{sin^23x}-2^{\frac{x}{2} }+11\right) } \, dx

\displaystyle \int\limits {\left(\frac{5}{sin^23x}-2^{\frac{x}{2} }+11\right) } \, dx=5\cdot\frac{1}{3} \int\limits \frac{1}{sin^23x}d(3x)-2\int\limits2^{\frac{x}{2} }d\left(\frac{x}{2}\right) +11\int\limits} dx=\\\\\\=\bf -\frac{5}{3}ctg\;3x-\frac{2\cdot2^{\frac{x}{2} }}{ln2}  +11x+C

\displaystyle \bf     10.\;\int\limits {\left(\frac{3}{100-10x^2}+2\sqrt[5]{x} -\frac{1}{10x^2+100}\right)  } \, dx

\displaystyle \int\limits {\left(\frac{3}{100-10x^2}+2\sqrt[5]{x} -\frac{1}{10x^2+100}\right)  } \, dx=\\\\\\=\frac{3}{10} \int\limits {\frac{1}{10-x^2} } \, dx +2\int\limits {x^{\frac{2}{5} }} \, dx -\frac{1}{10}\int\limits {\frac{1}{x^2+10} } \, dx =\\ \\\\=\frac{3}{10}\cdot\frac{1}{2\sqrt{10 } }  ln\bigg|\frac{\sqrt{10}+x }{\sqrt{10}-x }\bigg|+2\cdot\frac{x^{\frac{6}{5} }}{\frac{6}{5} }  -\frac{1}{10}\cdot\frac{1}{\sqrt{10}}arctg\frac{x}{\sqrt{10} }   =\\\\\\

\displaystyle \bf     =\frac{3}{20\sqrt{10 } }  ln\bigg|\frac{\sqrt{10}+x }{\sqrt{10}-x }\bigg|+\frac{10x\sqrt[5]{x} }{6}  -\frac{1}{10\sqrt{10}}arctg\frac{x}{\sqrt{10} }+C

Приложения:

fctdgsygfdhngfxzgsac: спасибо большое))
Похожие вопросы