Предмет: Математика,
автор: izabolotna07
ДОПОМОЖІТЬ БУДЬ ЛАСКААААА!!!! там завдання 4,5
Приложения:
Ответы
Автор ответа:
1
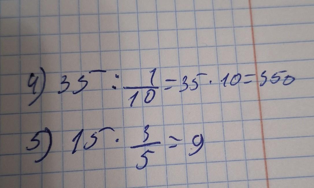
Ответ:
4- 350 5- 9
Пошаговое объяснение:
все на фото думаю почерк понятен
Приложения:
izabolotna07:
дякую!!
Похожие вопросы
Предмет: Физика,
автор: markovadana2509
Предмет: Математика,
автор: melnukartem6
Предмет: Другие предметы,
автор: thebro901
Предмет: Українська література,
автор: vadimych1912
Предмет: Обществознание,
автор: Аноним