Предмет: Алгебра,
автор: s6673411
ПОМОГИТЕ СРОЧНО ДАЮ 20 БАЛЛОВ
Приложения:
Ответы
Автор ответа:
1
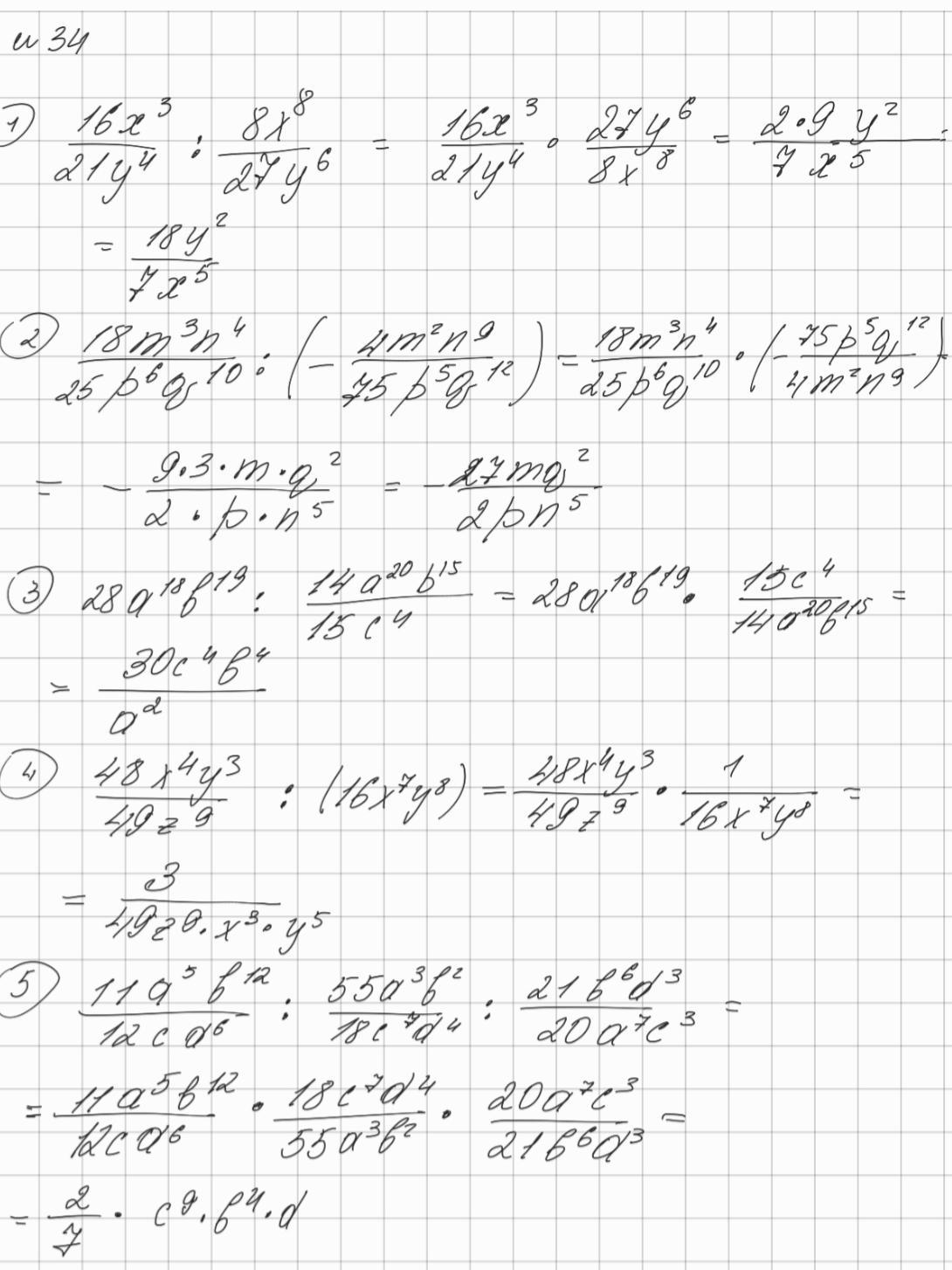
Ответ: решение ниже
Объяснение:
Приложения:
Похожие вопросы
Предмет: Биология,
автор: pupil3b15
Предмет: Математика,
автор: plecunkatrin
Предмет: Алгебра,
автор: liooooo
Предмет: Алгебра,
автор: error65
Предмет: Математика,
автор: tokok15