Предмет: Алгебра, автор: liooooo

Помогите пожалуйста!!!

Приложения:

Ответы

Автор ответа: atrom45153
0

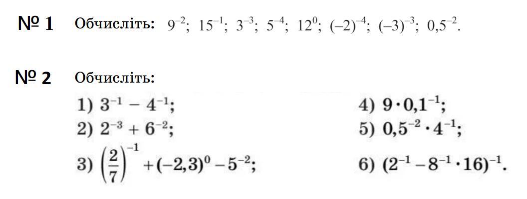
Ответ:1:Давайте обчислим эти варианты:

9

2

"="

81

9

2

"="81

15

1

"="

14

15−1"="14

3

3

5

4

"="

20

5⋅4"="20

12

12

2

− 2

(

3

)

3

"="

6

( - 3 )−3"="− 6

0,5

2

"="

1,5

0,5−2"="− 1,5

2:Давайте обчислим эти варианты:

3

1

4

1

"="

3

3−1−4−1"="− 3

23

+

6

2

"="

27

23+6−2"="27

2

7

1

+

(

2.3

)

÷

(

5

)

2

"="

2

7

1

+

0,46

2

"="

1

+

0,46

12

7

"="

1,54

12

7

7

2

−1+( - 2,3 )÷( - 5 )−2"="

7

2

−1+0,46−2"="− 1+0,46−

7

12

"="− 1,54−

7

12

90,1

1

"="

89,1

90,1−1"="89,1

0,5

24

1

"="

24,5

0,5−24−1"="− 24,5

(

2

1

8

116

1

)

1

"="

(

123

)

1

(

1

2 – 1 – 8 – 116

)

− 1

"="( - 123 )

− 1

Объяснение:КАК ТО ТАК

Автор ответа: veronikadyadko123
0

Вот это я не смогла решить (О1: 9 ^ - 2 15 ^ - 1 3 ^ - 3 5 ^ - 4 12; (- 2) ^ - 4 (- 3) ^ - 3 0, Q)

Ответ:

√2

Обчисліть

Объяснение:

1) 1/3 - 1/4 = 1/12

2) 1/8 + 1/36 = 11/72

3) 7/2 + 1 - 1/25 = 3.08

4) 9 * 10 = 90

5) 4/100 * 1/4 = 1/100

6) (1/2 - 1/8 * 16)^-1 = (1/2 - 2)^-1 = (-3/2)^-1 = -2/3

Похожие вопросы
Предмет: Математика, автор: taevims
Предмет: Геометрия, автор: rhdjdjrjd45