Предмет: Математика,
автор: d71996663
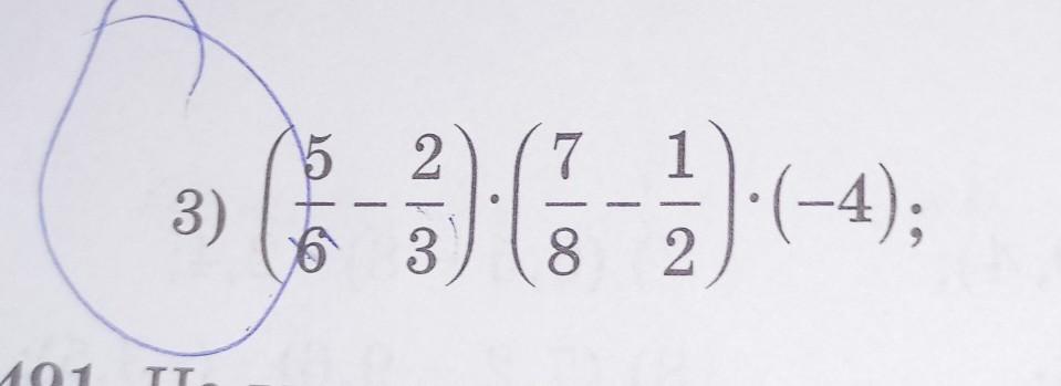
решите на листке
пжжж
Приложения:
Ответы
Автор ответа:
1
Ответ:
..................
Пошаговое объяснение:
...............
Приложения:
Похожие вопросы
Предмет: Алгебра,
автор: bssoosh
Предмет: Физика,
автор: timoshenkolike
Предмет: Английский язык,
автор: Shhdhdejird
Предмет: Литература,
автор: Victoriakesa
Предмет: Другие предметы,
автор: md1era9900