Предмет: Математика,
автор: margaritacernavska44
Допоможіть будь ласка дам 100 балів
Приложения:
Ответы
Автор ответа:
0
Пошаговое объяснение:
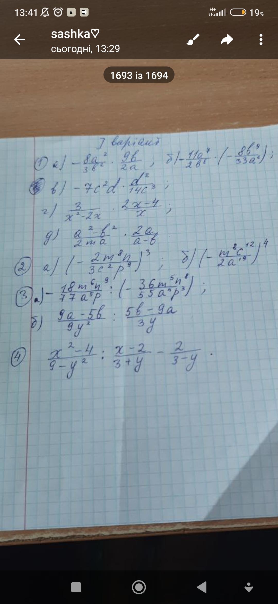
подробное решение на фото
Приложения:
Похожие вопросы
Предмет: Химия,
автор: a14057320
Предмет: Немецкий язык,
автор: s98076965
Предмет: История,
автор: akurpetaj
Предмет: Физика,
автор: Farelice
Предмет: Қазақ тiлi,
автор: Аноним