Предмет: Алгебра,
автор: enkk
Як записують, читають і зображають проміжок, який є множиною розв’язків нерівності виду a≤x≤b?
Ответы
Автор ответа:
0
Объяснение:
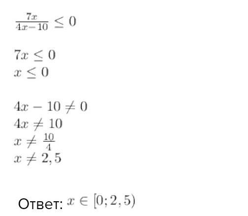
Всё вот так будет
это очень лёгки
Приложения:
Похожие вопросы
Предмет: Алгебра,
автор: jkortv
Предмет: Математика,
автор: tekeyanova09051995
Предмет: Математика,
автор: tty344695
Предмет: Математика,
автор: iznaur001san
Предмет: Литература,
автор: niazovalejla5