Предмет: Математика,
автор: pvlvlcslc
ПОМОГИТЕ ПОЖАЛУЙСТА
Приложения:
Ответы
Автор ответа:
0
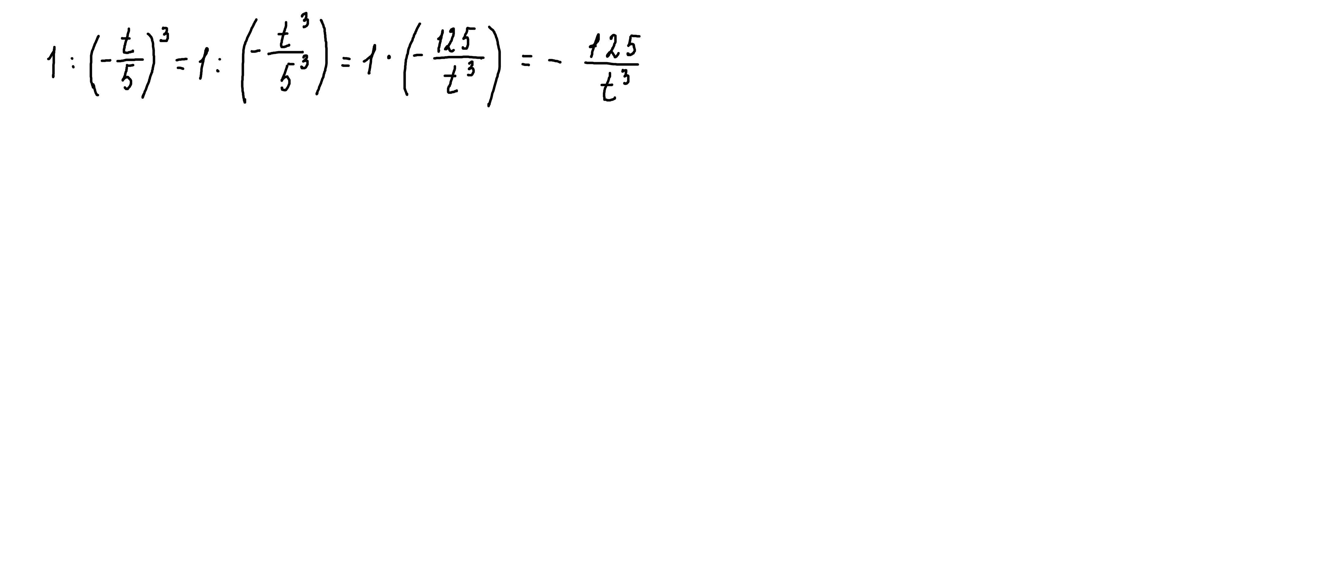
Ответ:
-125 / t³
Пошаговое объяснение:
Приложения:
Похожие вопросы
Предмет: Химия,
автор: kristinachh
Предмет: Алгебра,
автор: fctdgsygfdhngfxzgsac
Предмет: Математика,
автор: yasya071192
Предмет: История,
автор: awmaeshetic
Предмет: Английский язык,
автор: kuzmindimon911