Предмет: Математика,
автор: velikaya0istina
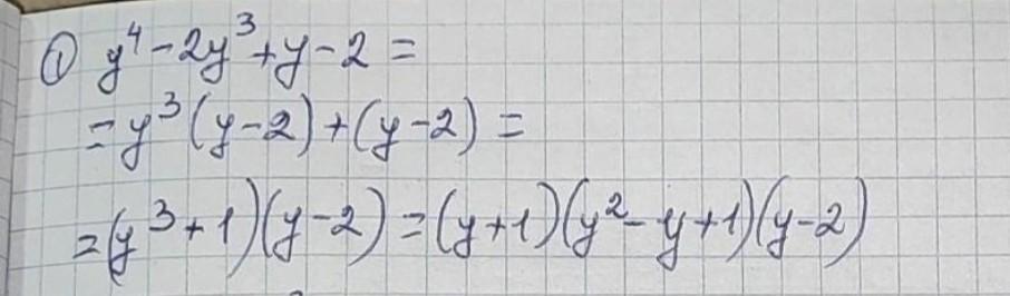
доведите решение данного задание до конца (разложите на множители)
Приложения:
Ответы
Автор ответа:
1
Ответ:
.................
Пошаговое объяснение:
..................
Приложения:
tetamotatetyamotya:
та,на здоровье♥️Рада была вам помочь
спокойной ночи,детка.♥️
Похожие вопросы
Предмет: Другие предметы,
автор: ajdaorazaly2
Предмет: Английский язык,
автор: annavolosiuk00
Предмет: Математика,
автор: AEIXWNM
Предмет: Другие предметы,
автор: Asya294739220