Предмет: Алгебра,
автор: denmed1996
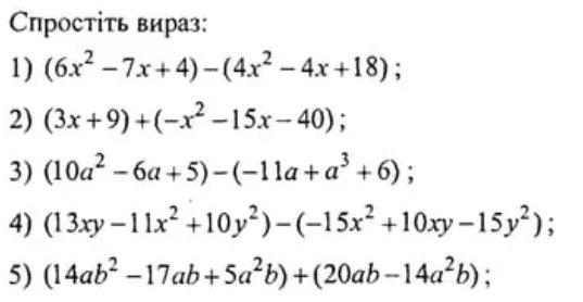
Зробіть будь ласка як умога швидше
Приложения:
Ответы
Автор ответа:
1
дай будь ласка найкращу відповідь
Приложения:
Похожие вопросы
Предмет: Физика,
автор: nikandraakimova
Предмет: География,
автор: evaf99230
Предмет: Физика,
автор: germanskyimpery
Предмет: Математика,
автор: kirasvic