Предмет: Алгебра,
автор: viktysiadubchak71
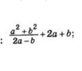
Подайте у вигляді дробу вираз
Приложения:
Ответы
Автор ответа:
1
Ответ:
(a²+b²/2a-b)+2a+b = (a²+b²+2a(2a-b)+b(2a-b)/2a-b) = (a²+b²+4a²-2ab+2ab-b²/2a-b)=(5a²/2a-b)
Похожие вопросы
Предмет: Алгебра,
автор: anastasiasijko9
Предмет: Физика,
автор: saidovrenat64
Предмет: Русский язык,
автор: merkantalantbekova
Предмет: Математика,
автор: Аноним
Предмет: Математика,
автор: tabyldievaajtilek