Предмет: Алгебра,
автор: mamontbvc
СРОЧНО ПОГИТЕ РЕШИТЬ
Приложения:
mamontbvc:
почему в инсте?
у меня нет инсты
Ответы
Автор ответа:
1
Відповідь:
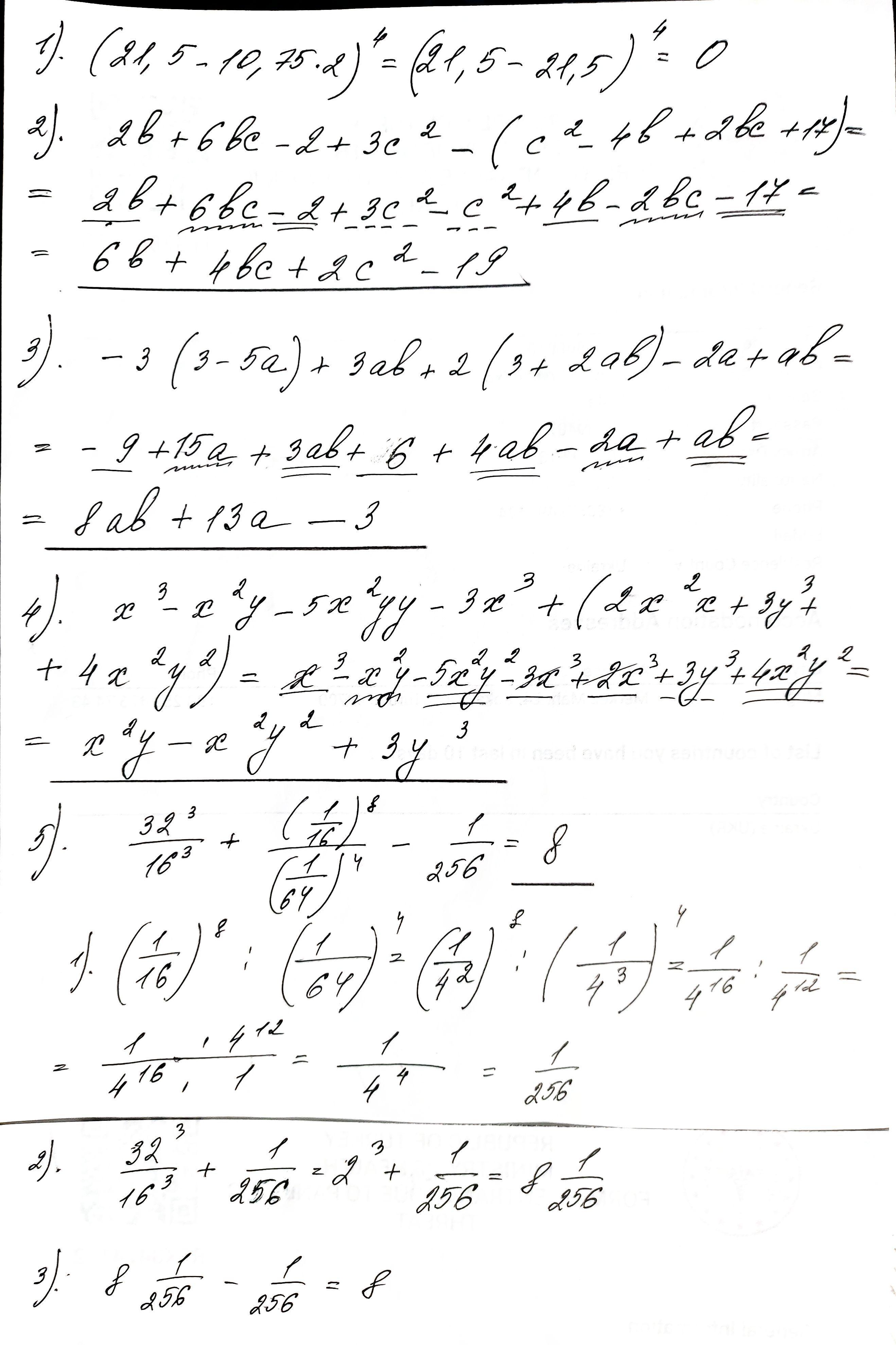
1. ... = 0;
2. ... = 6b + 4bс +2с² - 19;
3. ... = 8аb + 13а = 3;
4. ... = х²у - х²у² + 3у³;
5. ... = 8
6. Доведемо, що значення виразу (10¹⁰ – 7 ) ділиться націло на 3. Число 10¹⁰ закінчується на цифру 0. Це число складається із цифри 1 і десяти нулів. А запис значення виразу (10¹⁰ – 7 ) — із цифри 3 і дев’яти цифр 9. Отже, сума цифр числа, яка є значенням даного виразу, кратна 3. Тому саме це число й ділиться націло на 3.
Пояснення:
Пояснення рішення прикладів дивись в прикріпленому фото
Приложения:
спасибо большое
Похожие вопросы
Предмет: Русский язык,
автор: v1ad1310
Предмет: Українська мова,
автор: dipoplavsk
Предмет: Математика,
автор: panarinaanna
Предмет: Физика,
автор: veron1kka
Предмет: Математика,
автор: yulia12068