Предмет: Математика,
автор: gigimon2288
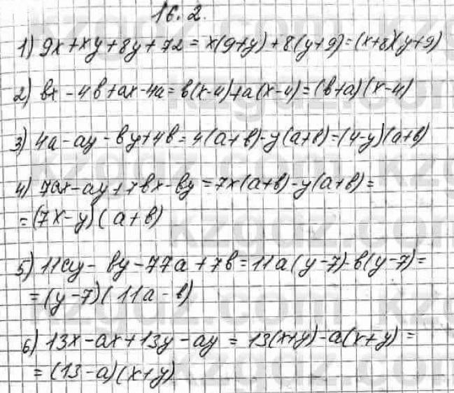
16.2. 1) 9x + xy + 8y + 72;
3) 4a-ay-by + 4b;
5) 11ay-by-77a+7b;
2) bx - 4b + ax - 4a;
4) 7ax-ay+7bx-by;
6) 13x-ax+ 13y - ay.
Разложите на множители способом группировки многочлены
Ответы
Автор ответа:
20
на фото все ответы.Подробно
Приложения:
straykids1203:
спасибочки большое
как называется приложение которое на фото ?
г.д.з
Это не правильно!
рм
Похожие вопросы
Предмет: Математика,
автор: melikesalmanova6
Предмет: Українська мова,
автор: m8qcs5mc64
Предмет: Русский язык,
автор: misirkanovaajzan
Предмет: Биология,
автор: ailinaitemgenova08
Предмет: Информатика,
автор: islamkuraev777