Предмет: Алгебра,
автор: karinafilonenko
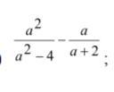
Помогите пожалуйста (a ^ 2)/(a ^ 2 - 4) - a/(a + 2)
Приложения:
Ответы
Автор ответа:
1
думаю правильно
ьатвлвльвтвлвлул
ьатвлвльвтвлвлул
Приложения:
Похожие вопросы
Предмет: Биология,
автор: marinapererva0
Предмет: Математика,
автор: darinavovk509
Предмет: Английский язык,
автор: alinakulichenko340
Предмет: Математика,
автор: lilikarakay92
Предмет: Русский язык,
автор: guly31071989