Предмет: Математика,
автор: bry11s
10.
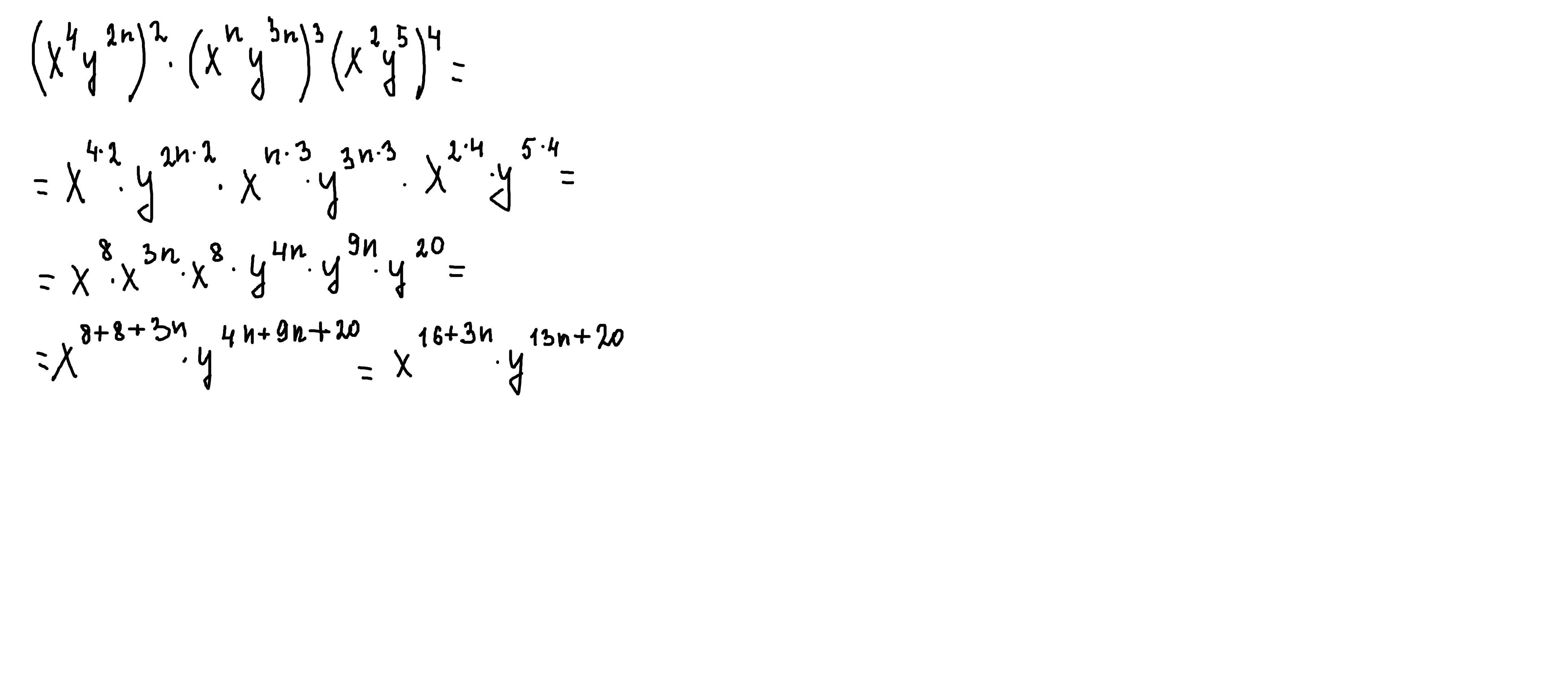
Записати у вигляді одночлена стандартного вигляду ( n натуральне число):
Приложения:
Ответы
Автор ответа:
4
Ответ:
Пошаговое объяснение:
при возведении степени в степень показатели перемножаются,при умножении-складываются
Приложения:
Похожие вопросы
Предмет: Английский язык,
автор: idiotbeee871
Предмет: Астрономия,
автор: janadaevanargisa
Предмет: Химия,
автор: saidovrenat64
Предмет: Алгебра,
автор: zlayaapelsinka568
Предмет: История,
автор: annabardysheva1