Предмет: Алгебра, автор: Аноним

Срочно спасите меня!! примеры на фото​

Приложения:

Ответы

Автор ответа: NNNLLL54
2

Ответ:

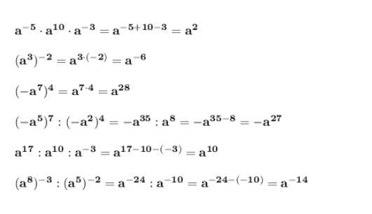
Записать в виде степени . Применяем свойства степеней .

\bf a^{-5}\cdot a^{10}\cdot a^{-3}=a^{-5+10-3}=a^{2}\\\\(a^3)^{-2}=a^{3\cdot (-2)}=a^{-6}\\\\(-a^7)^4=a^{7\cdot 4}=a^{28}\\\\(-a^5)^7:(-a^2)^4=-a^{35}:a^8=-a^{35-8}=-a^{27}\\\\a^{17}:a^{10}: a^{-3}=a^{17-10-(-3)}=a^{10}\\\\(a^{8})^{-3}:(a^5)^{-2}=a^{-24}:a^{-10}=a^{-24-(-10)}=a^{-14}            

Приложения:

alice12324: Решить задания на фото. Если можно распишите на листочке решение.
https://znanija.com/task/53569764?utm_source=android&utm_medium=share&utm_campaign=question
alice12324: посмотрите пожалуйста этот вопрос
Похожие вопросы
Предмет: Английский язык, автор: fanatkabriana
Предмет: Математика, автор: sonakrikun435