Предмет: Алгебра, автор: JluTbIYKoKoSiK

Запишите дроби в виде степени.
(Только нечётные если они там есть...)

Срочно

Приложения:

Ответы

Автор ответа: koroliuksolomiya
2

Відповідь:

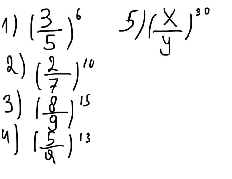
(\frac{3}{5})^{6} , (\frac{2}{7})^{10}, (\frac{8}{9})^{15}, (\frac{5}{a})^{13}, (\frac{x}{y})^{30}  \\

Пояснення:

Якщо я не так зрозумів/ла завдання, напишіть у коментарі, відповім)

Автор ответа: ohrimenkoviktoria201
1
Здесь все четные, кроме N°4. Он нечётный
Приложения:
Похожие вопросы
Предмет: Українська мова, автор: rongimon
ІІІ варіант
1. Граматично правильне речення можна утворити, якщо до фрагмента
«Склавши ЗНО на найвищі бали, …» додати
А Андрієм було вибрано найпопулярніший університет.
Б не упустіть можливості вступити до найбажанішого закладу.
В вас буде зараховано на навчання за бюджетні кошти.
Г це чудова можливість обрати найкращий ЗВО.
Д у мене появилися заздрісники.

2. Граматично правильне речення можна утворити, якщо до фрагмента
«Прочитавши тему власного висловлення, …» додати
А мені знадобилася година для написання твору.
Б згадався урок, на якому про це говорили.
В довелося добре помізкувати.
Г я спочатку начебто й не зрозумів її.
Д на думку спали слова Г. Сковороди.

3. Граматично правильне речення можна утворити, якщо до фрагмента
«Вибираючи професію, …» додати
А тато нагадав мені про родинну династію лікарів.
Б мені допоміг твір «Бджола та Шершень».
В я проаналізував свої здібності й бажання.
Г поради старших друзів нам не знадобилися.
Д було прослухано лекцію про потреби на ринку праці.

4. Граматично правильне речення можна утворити, якщо до фрагмента
«Створюючи блог чи сайт, …» додати
А поміркуй, яким буде його спрямування.
Б нехай тобі допоможуть досвідчені блогери.
В потрібен зацікавлений читач.
Г визначається його тематика, цільова аудиторія.
Д мною переглянуто чимало відеопорад.

5. Граматично правильне речення можна утворити, якщо до фрагмента
«Вирушаючи за кордон, …» додати
А нами усвідомлено всі ризики й переваги перебування там.
Б довелося вивчити англійську, бо в школі я її ігнорував.
В перечитано різні відомості про ту країну.
Г на перший план виходять твої фінансові можливості.
Д збери всі необхідні документи, зокрема й медичний страховий поліс.

6. Граматично правильне речення можна утворити, якщо до фрагмента
«Прочитавши «Майстер корабля», …» додати
А спочатку нічого не було зрозуміло.
Б я зрозумів, що таке радість творчості.
В учителька оцінила мої знання змісту десятьма балами.
Г невідомо, що сталося з Тайях.
Д мені сподобався незвичайний образ моря.
7. Якщо до фрагмента «Скаржачись на вічний плин часу, …» додати запропоноване продовження, то граматично правильними будуть усі речення, ОКРІМ
А ти гаєш його.
Б нічого не здобудеш.
В людина все одно його не наздожене.
Г робота сама не зробиться.
Д втрачаємо найцінніше.
8. Якщо до фрагмента «Відірвавшись від гілки, …» додати запропоноване продовження, то граматично правильними будуть усі речення, ОКРІМ
А листок тихо падає в мої долоні.
Б мої руки впіймали листок.
В листок закружляв у танку.
Г впав на стежку кленовий листок.
Д вальсом листя танцює в саду.
9. Граматичної помилки не буде, якщо до фрагмента «Дивлячись на таку несправедливість, …» додати продовження
А не можу мовчати.
Б моє серце обливається кров’ю.
В хочеться на весь світ кричати.
Г Миколі захотілося піти геть.
Д нам аж ніяково стало.
10. Граматично правильне продовження речення «Виходячи в люди, …» запропоновано в рядку
А нам здається, що спіймали Бога за ноги.
Б там також будуть проблеми.
В душа теж має бути людяна.
Г хай людяними будуть і твої вчинки.
Д не переставай бути людиною.
11. Граматичну помилку допущено в реченні
А Беручись за велику справу, не оглядайся на дрібні помилки.
Б І я пішов, прискорюючи крок, назустріч людям і навстріч світанню.
В Повертаючись з лижної прогулянки, нас у дорозі застала снігова буря.
Г Сніг, розтанувши, взявся водою.
Д Не можна жити приємно, не живучи розумно, доброчесно й справедливо.

12. Граматично правильно побудовано речення
А Підходячи до цієї кімнати, за дверима пролунали дивні звуки.
Б Працюючи тиждень, ремонт був завершений.
В У нас не було ніяких проблем, вивчаючи економіку.
Г Виховуючи свою дитину, виховуєш себе.
Д Попрацюваваши на різних тренажерах, спорт стане ще більш корисним.
Предмет: Английский язык, автор: briushkass
Предмет: Математика, автор: igroman0192