Предмет: Математика,
автор: thewarpath12445
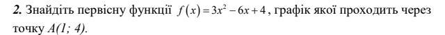
срочно нужна помощь по математики
тема: Первісна функції.
всё на фото
Приложения:
Ответы
Автор ответа:
1
Відповідь:
Покрокове пояснення:
Розв'язання Завдання додаю
Приложения:
thewarpath12445:
благодарю
Похожие вопросы
Предмет: Английский язык,
автор: girkaandrij
Предмет: Математика,
автор: artemchukirisna
Предмет: Физика,
автор: arzimbetovashakhzoda
Предмет: Русский язык,
автор: agresta284