Предмет: Алгебра,
автор: firelisa81
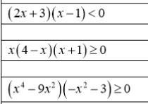
помогите пожалуйста,,,,,
Приложения:
Ответы
Автор ответа:
0
Ответ:
Это очень легко...мы проходили это..
Это правильно
Приложения:
firelisa81:
а можно немного с обяснением
Похожие вопросы
Предмет: Химия,
автор: leyterrr52
Предмет: Геометрия,
автор: aroslavsemenov816
Предмет: Химия,
автор: hylinalina
Предмет: Математика,
автор: hesen70
Предмет: Английский язык,
автор: drogvalenko