Предмет: Математика,
автор: scor2820
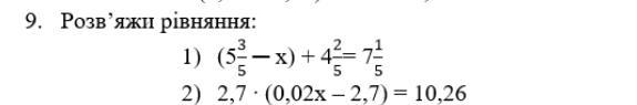
Розв'яжіть 2 рівняння до 14:00 БУДЬ ЛАСКА!!!
Приложения:
Ответы
Автор ответа:
1
Ответ:
1) x = 14 п'ятих
2) x = 325
Ну вродн так
Похожие вопросы
Предмет: Математика,
автор: arkashka2012
Предмет: Окружающий мир,
автор: ddfgeedff
Предмет: Литература,
автор: azhar532155
Предмет: Математика,
автор: varvara27062
Предмет: Химия,
автор: asimrnenkr