Предмет: Математика,
автор: kolyapro2001
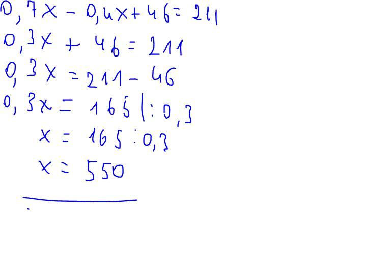
0.7х-0.4х+46=211 помогите пожалуйста
Ответы
Автор ответа:
0
#####################
Приложения:
kolyapro2001:
Рар
Автор ответа:
0
Ответ:
x=550
Надеюсь помогла =)
Похожие вопросы
Предмет: Українська мова,
автор: f7trhkgzgb
Предмет: Химия,
автор: joker5321
Предмет: Литература,
автор: dasacerniuk031
Предмет: Физика,
автор: Huvf