Предмет: Математика,
автор: Аноним
Задание 1.10 и 1.11 помогите пж
Даю 40 баллов за это
7 класс
Приложения:
Ответы
Автор ответа:
1
Ответ:
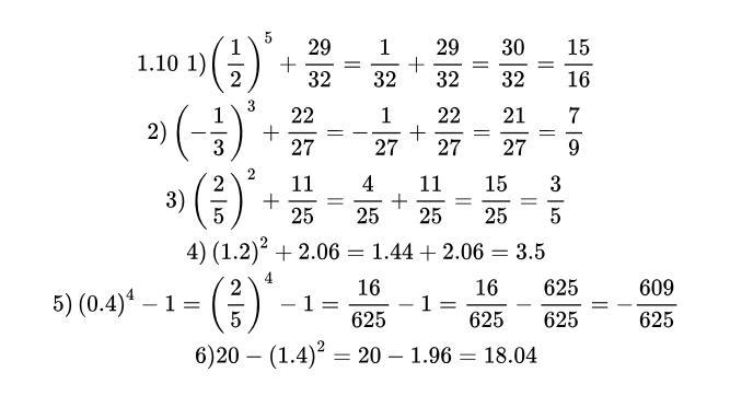
Ответ на фото. Если понравился ответ, то я буду благодарен, если вы его оцените
Пошаговое объяснение:
Приложения:
mofantik:
Очень рад, что смог вам помочь
Похожие вопросы
Предмет: Биология,
автор: kkarinaww42
Предмет: Математика,
автор: akfuttug
Предмет: Английский язык,
автор: mjakfj
Предмет: Математика,
автор: Dic2211