Предмет: Алгебра,
автор: Аноним
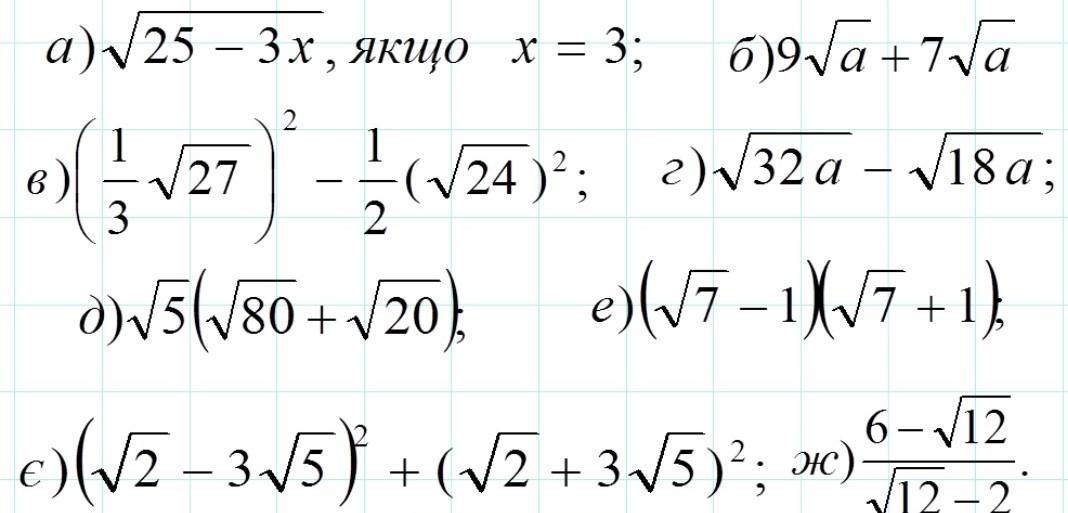
ДОПОЖІТЬ БУДЬ ЛАСКА ДУЖЕ ТЕРМІНОВО ДАЮ 100 БАЛІВ
Приложения:
Ответы
Автор ответа:
0
Ответ:вроде так
Объяснение:
Приложения:
Похожие вопросы
Предмет: Литература,
автор: Milimstar
Предмет: Алгебра,
автор: MRezanov
Предмет: Геометрия,
автор: lano4kalove228
Предмет: Физика,
автор: kikopop555
Предмет: Английский язык,
автор: grabskayainga