Предмет: Алгебра,
автор: dan347tan
Решите пожалуйста задачи
Приложения:
Ответы
Автор ответа:
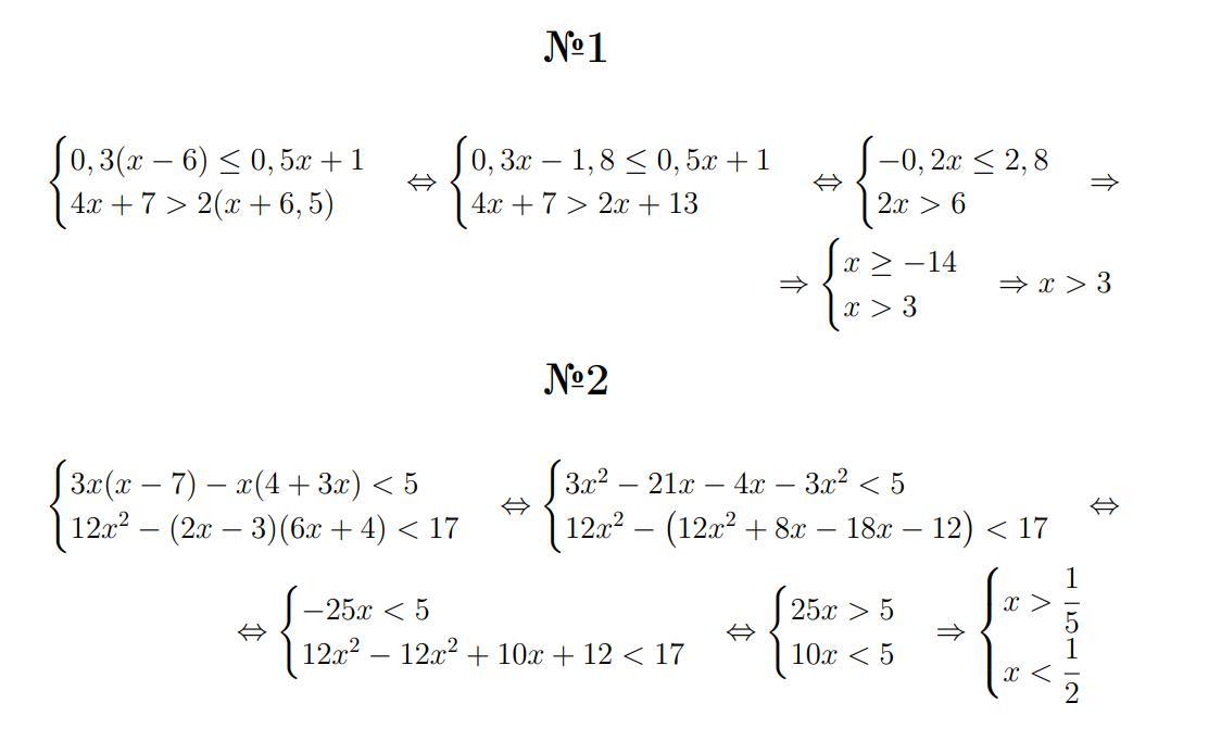
1
Решение на фото ....
Приложения:
dan347tan:
Извините, но можете ответить и на остальные мои вопросы по алгебре пожалуйста? Там такие-же высокие награды как и здесь
Похожие вопросы
Предмет: Английский язык,
автор: leynar1
Предмет: Математика,
автор: Aleksey133215
Предмет: Алгебра,
автор: fialkaa240
Предмет: Математика,
автор: Zamanova2010
Предмет: Математика,
автор: michelle20