Предмет: Алгебра, автор: maksneetreba1

памагите пж пж жпжпжпжжп​

Приложения:

Ответы

Автор ответа: Аноним
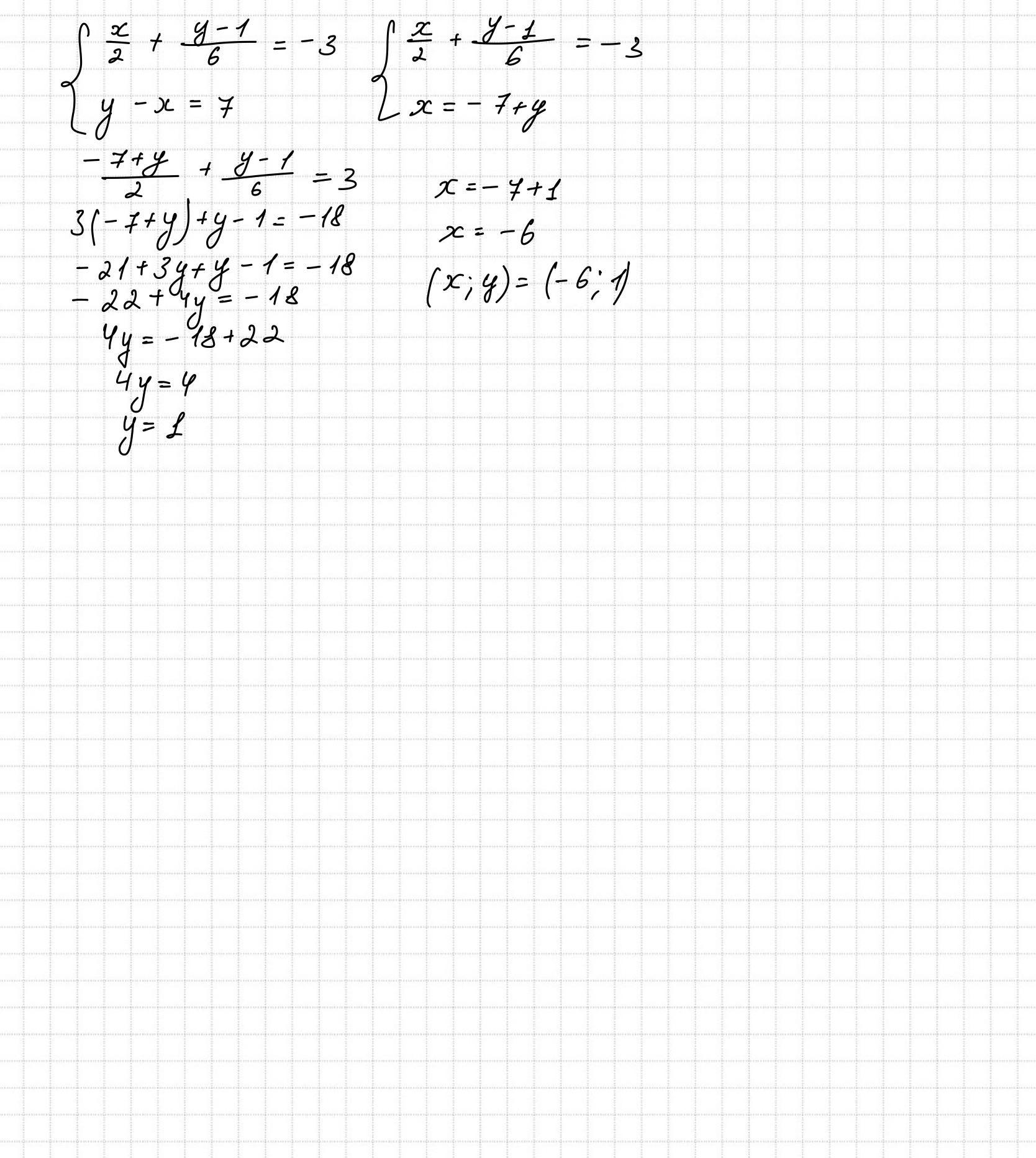
1

Ответ:

дай лучший ответ пожалуйста

Приложения:
Похожие вопросы
Предмет: Геометрия, автор: yershovaam
Предмет: Биология, автор: kristinakrank
1. Ситуационная задача № 1: Сделайте символическую запись генотипов следующих индивидуумов и определите вероятность появления у них соответствующих патологических признаков: 1. мужчина, гетерозиготный по гену фенилкетонурии (аутосомно- рецессивный тип наследования); 2. женщина, гомозиготная по гену фенилкетонурии; 3. мужчина, гетерозиготный по гену ахондроплазии (аутосомно - доминантный тип наследования); 4. женщина, гетерозиготная по гену гемофилии (Х-сцепленный, рецессивный тип наследования); 5. мужчина, гемизиготный по гену гемофилии. 2. Ситуационная задача № 2: Сделайте заключение о возможном кариотипе индивидуумов на основании сведений о его вторичных половых признаках и содержании телец полового хроматина в ядрах клеток слизистой оболочки щеки: 1. фенотип женский, более 20% клеток имеют одно тельце полового хроматина; 2. фенотип женский, половой хроматин не обнаружен; 3. фенотип женский, более 20% клеток имеют два тельца хроматина; 4. фенотип мужской, хроматин обнаружен у 1% исследованных клеток; 5. фенотип мужской, более 20% клеток имеют одно тельце полового хроматина; 6. фенотип мужской, более 20% клеток имеют два тельца хроматина.