Предмет: Химия,
автор: hko87284
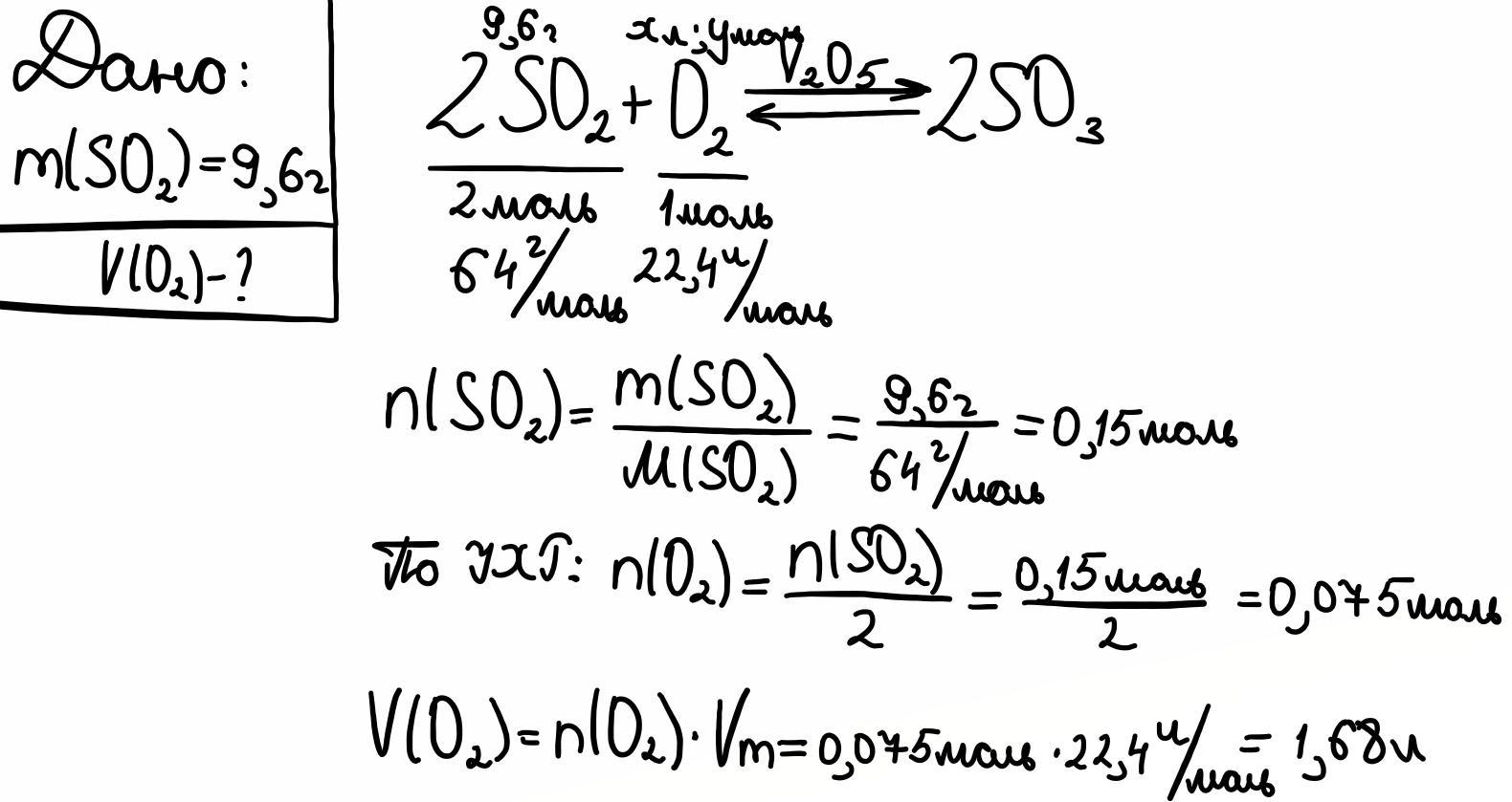
Определите объём кислорода (н.у.), необходимый для окисления 9,6 г оскида серы (IV).
Ответы
Автор ответа:
2
Дано:
m(SO2) = 9,6 г
Найти:
V(O2) - ?
Решение:
1) 2SO2 + O2 → 2SO3;
2) n(SO2) = m / M = 9,6 / 64 = 0,15 моль;
3) n(O2) = n(SO2) / 2 = 0,15 / 2 = 0,075 моль;
4) V(O2) = n(O2) * Vm = 0,075 * 22,4 = 1,68 л.
Ответ: Объем O2 составляет 1,68 л.
Автор ответа:
2
Удачи!!!!!!!!!!!!!!!!!!!!!!!!!!
Приложения:
Похожие вопросы
Предмет: Литература,
автор: yanamartynukua
Предмет: Математика,
автор: ashrafadelcad
Предмет: Українська мова,
автор: polinaprinp
Предмет: Українська мова,
автор: Keryni
Предмет: Алгебра,
автор: Dsddww